咨询热线
4000-348-088传真:027-83313327
邮箱:cepee_1@163.com
地址:武汉市汉口古田二路汇丰·企业总部丰才楼118号
滚球法确定接闪器的保护范围
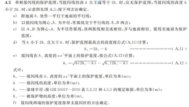
1、单支接闪杆的保护范围示意图见图A.1,保护范围确定方法如下。
a)当接闪杆高度h小于或等于h,时:
1)距地面h,处作一平行于地面的平行线;
2)以杆尖为圆心,h,为半径,作弧线交于平行线的A、B两点;
3)以A、B为圆心,h,为半径作弧线,弧线与杆尖相交并与地面相切。弧线到地面为其保护范围。保护范围为一个对称的锥体;
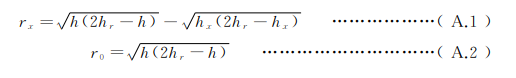
4)接闪杆在h高度的xx‘平面上和地面上的保护半径按公式(A.1)、公式(A.2)计算:

式中:
rr—接闪杆在h,高度的xx’平面上的保护半径,单位为米(m);
h.——滚球半径,按GB50057一2010中表5.2.12和4.5.5的规定取值,单位为米(m);
hi—被保护物的高度,单位为米(m);
ro——接闪杆在地面上的保护半径,单位为米(m)。
b)当接闪杆高度h大于h,时,在接闪杆上取高度等于h,的一点代替单支接闪杆杆尖作为圆心。其余的做法依据A.1.1规定。公式(A.1)和公式(A.2)中的h用h,代入。

2、 两支等高接闪杆的保护范围,在接闪杆高度h小于或等于h的情况下,当两支接闪杆距离D大于或等于2√h(2h,一h)时,各按单支接闪杆所规定的方法确定;当D小于2√h(2h,一h)时,示意图见图A.2,按下列方法确定。
a)AEBC外侧的保护范围,按单支接闪杆的方法确定。
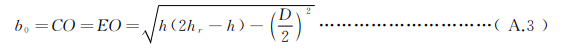
b)C、E点位于两杆间的垂直平分线上。在地面每侧的最小保护宽度按公式(A.3)计算:

c)在AOB轴线上,距中心线任一距离处,其在保护范围上边线上的保护高度按公式(A.4)计算:

d)两杆间AEBC内的保护范围,ACO部分的保护范围按下列方法确定:
1)在任一保护高度h,和C点所处的垂直平面上,以h,作为假想接闪杆,并按单支接闪杆的方法逐点确定(图A.2中1-1剖面图);
2)确定BCO、AEO、BEO部分的保护范围的方法与ACO部分的相同。
e)确定xr‘平面上的保护范围截面的方法。以单支接闪杆的保护半径r,为半径,以A、B为圆心作弧线与四边形AEBC相交;以单支接闪杆的(r。一r)为半径,以E、C为圆心作弧线与上述弧线相交,见图A.2中的粗虚线。











